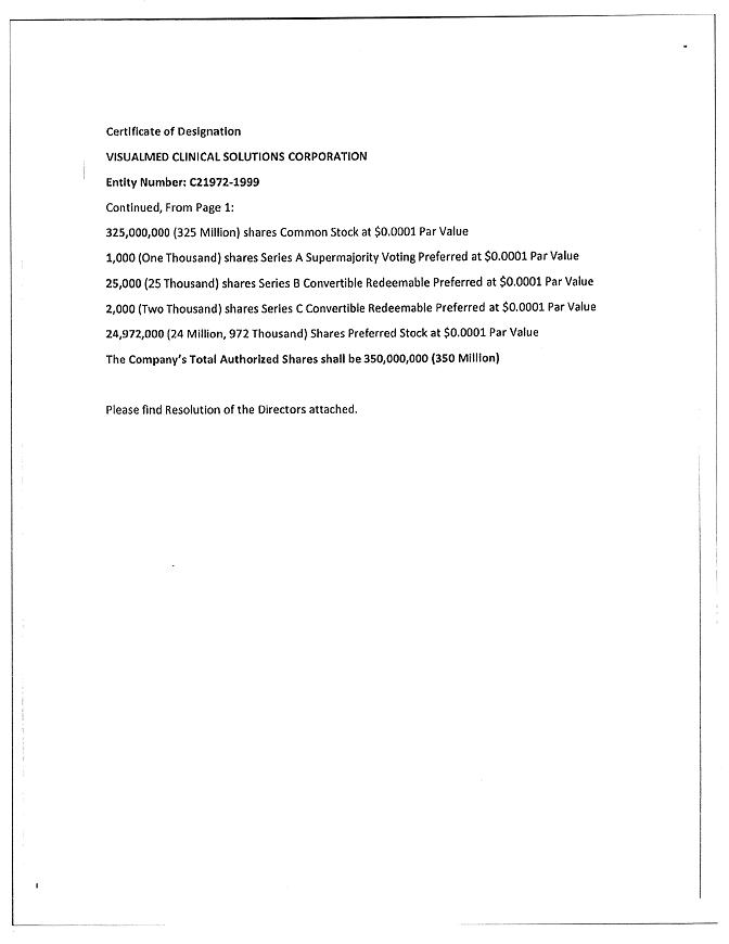
Exhibit 3.1(i)